Con la nuova PAC, a partire dal 1° gennaio 2023, agli agricoltori che applicheranno pratiche agricole sostenibili (come minima lavorazione, sodo, cover crops, avvicendamento colturale, gestione virtuosa dei residui e dei liquami) e che eliminano la Co2 dall’atmosfera verranno corrisposti nuovi premi ad ettaro in ambito Pac sotto forma di “certificati verdi” o di “assorbimento”, anche detti “crediti di carbonio”.
Il sistema di certificazione, una volta approvato, permetterà di stabilire l’effettiva quantità in tonnellate di carbonio sequestrato nel suolo in una determinata azienda agricola che pratica un determinato percorso colturale e su questa base sarà definito il premio a superficie, oppure sulla base delle tonnellate di Co2 sequestrate.
I gas a effetto serra, nocivi per il pianeta Terra, possono essere di origine sia naturale che antropica.
L’effetto serra è il fenomeno di riscaldamento globale del nostro pianeta dovuto alla presenza di alcuni gas nell’atmosfera terrestre. In particolar modo, anidride carbonica (CO2), metano CH4 e vapore acqueo.
Il più importante gas a effetto serra, di origine naturale, presente nell’atmosfera è il vapore acqueo. Tuttavia, le attività umane e produttive rilasciano grandi quantità di altri gas a effetto serra, aumentandone le concentrazioni atmosferiche , incrementano l’effetto serra e il riscaldamento climatico.
Le principali fonti di gas a effetto serra generati dall’uomo sono:
- la combustione di carburanti fossili (carbone, petrolio e gas naturale) dovute alla generazione di energia elettrica, ai trasporti, al settore civile ed industriale (CO2);
- l’agricoltura (CH4 Metano ) e i cambiamenti nelle destinazioni del suolo, come ad esempio la deforestazione (CO2);
- le discariche (CH4);
- l’uso di gas fluorurati di origine industriale.
Le emissioni di CH4 presenti nel settore Agricoltura provengono soprattutto dall’allevamento di bovini e dalla gestione dei concimi aziendali. Le emissioni di N2O protossido di azoto sono prodotte in particolare dalle superfici agricole utili e in misura minore dalla gestione dei fertilizzanti. Sulle superfici agricole utili le emissioni di N2O derivano dai processi di degradazione biologica dei carichi di azoto (concimi commerciali, concimi aziendali, resti di raccolti ecc.).
In agricoltura le emissioni di CO2 relativamente più basse provengono dall’utilizzo di vettori energetici fossili (serre, essiccazione dell’erba, veicoli e macchine agricoli e forestali) e dall’impiego dell’urea e della calce come fertilizzanti.
Per il settore le misure volontarie di mitigazione aventi un’efficienza medio – alta da inserire nella Strategia aziendale potrebbero essere:
- migliore gestione delle deiezioni animali (stoccaggio e spandimento) e del suolo, stoccaggio del carbonio (ridurre la lavorazione dei terreni, coltivando secondo il principio della rotazione del raccolto utilizzando le cosiddette “colture da rinnovo” e lasciando i residui della coltivazione sulla superficie del suolo),
- introduzione dell’agricoltura di precisione, bioeconomia ed, in particolare, della produzione di biogas.
- piantare alberi che tramite la fotosintesi fissano la CO2 sotto forma di carbonio organico, e risultano sicuramente gli organismi più adatti per limitare l’aumento di CO2 che nelle città raggiunge valori più alti tra i mesi di giugno e agosto e diminuisce tra fine agosto e ottobre, con l’arrivo delle prime piogge autunnali.
- realizzare tetti verdi in città
- riduzione degli erbicidi che uccidono la flora microbica in grado di sequestrare il carbonio.
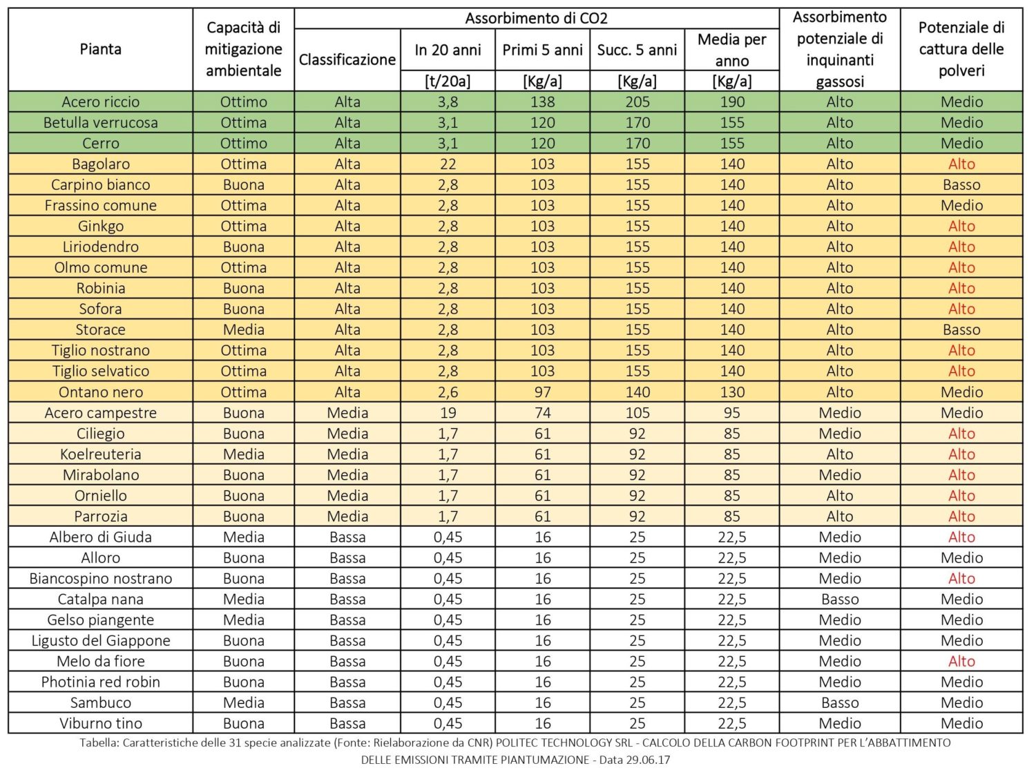
Ogni pianta messa a dimora in ambiente urbano svolge un’azione di riduzione della CO2 equivalente a 3-5 alberi in foresta di pari dimensioni. Acero 3,8 t di Co2 ad albero in 20 anni , Betulla 3,1 t di Co2 ad albero in 20 anni , Cerro 3,1 t di Co2 ad albero in 20 anni, Bagolaro 2,2 t di Co2 ad albero in 20 anni, sono le specie che sequestrano maggiori quantitativi di co2 .
Le pratiche agricole che abbiamo adottato negli ultimi 150 anni hanno danneggiato le comunità microbiche e dei funghi nel suolo. Poiché abbiamo stressato così tanto il suolo, abbiamo davvero ridotto la capacità fotosintetica dei suoli. Quando riportiamo la biologia nel sistema, quella capacità aumenta: vediamo una maggiore efficienza nell’uso del carbonio perché molta dell’energia che scorre nel suolo viene trasformata in vita biologica.
Una coppia che vive in un appartamento piccolo consuma, in media, 1.500 kWh di energia elettrica e 700 Smc di gas all’anno. Arrivano comunque ad emettere ogni anno 384 kg di CO2 per i consumi di energia elettrica e 1.260 kg di CO2 per quelli di gas, per un totale di 1.644 kg di CO2 l’anno che potrebbero essere compensati da 82 alberi pari a 15, 36 Kg/co2 per albero.
Le graminacee da prato posseggono una intensa attività fotosintetica, assorbono l’anidride carbonica (CO2) dall’atmosfera e con l’acqua la convertono in carboidrati e zuccheri semplici per generare energia e crescita; ciò permette di liberare tanto ossigeno da sostenere una persona al giorno con due metri quadrati di prato e di rimuovere fino a 2,5 tonnellate di CO2 all’anno con un ettaro par a 250 grammi/anno di Co2 sequestrata per mq di prato.
L’aratura permette un sequestro di 1250 g/mq, con il sodo il sequestro di carbonio aumenta fino a di 1750 g/mq.
Le colture di copertura a loro volta contribuiscono ad aumentare il tasso di carbonio organico nel suolo (che altrimenti sul suolo nudo volerebbe in atmosfera) pari a 0,32 t/ha/anno.
La senape è una eccellente cover crops geliva, cioè si disintegra nel corso dell’inverno, lasciando un residuo “paglioso” sul quale si può effettuare una semina diretta o una minima lavorazione
Con questa nuova premialità in ambito Pac, all’agricoltore viene riconosciuto per la prima volta in maniera tangibile il suo impegno a favore dell’ambiente e della salute dei cittadini.





